1月15日,中國水產科學研究院黃海水產研究所葉乃好團隊在Nature旗下期刊The ISME Journal在線發表了題為“Acclimation and adaptation to elevatedpCO2increase arsenic resilience in marine diatoms”的研究論文,發現大氣中CO2升高引起的海水酸化顯著降低了硅藻砷富集和食物網傳遞能力,解析了酸化條件下硅藻砷應答和解毒分子機制。
浮游植物是海洋初級生產力的重要貢獻者,也是元素生物地球化學循環不可或缺的承載者。硅藻約占海洋初級生產力的40%,元素富集特征明顯,其應對CO2水平升高的代謝變化勢必對海洋生態系統元素生物地球化學循環產生重要影響(eg. Zhanget al., Journal of Hazardous Materials, 2020)。
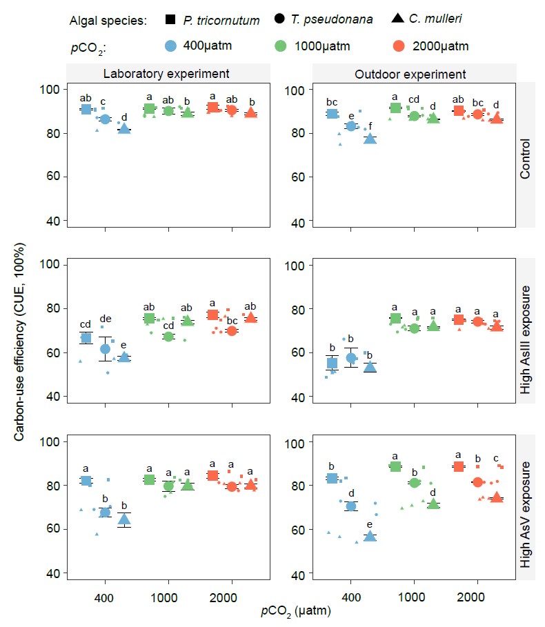
團隊采用多學科交叉技術手段,從不同時空角度探究了三角褐指藻(Phaeodactylum tricornutum)、假微型海鏈藻(Thalassiosira pseudonana)和牟氏角毛藻(Chaetoceros mulleri)三種典型浮游硅藻對砷的耐受能力和代謝調控機制。結果顯示,海水酸化條件下硅藻砷累積效率顯著降低,在食物鏈中對砷的傳遞作用亦顯著下降;酸化加快了細胞內砷的隔離和外排進程,從而增強了硅藻對砷的耐受性。研究成果為系統認知氣候變化下海洋生物砷代謝機制奠定基礎,也為評估未來海洋生態系統砷生物地球化學循環的演變趨勢與生態效應提供理論依據。
黃海水產研究所徐東副研究員為論文第一作者,葉乃好研究員為通訊作者。德國漢堡大學Charlotte-Elisa Schaum教授,山東省海洋資源與環境研究院李斌和陳亞楠博士,魯東大學佟善英博士,美國南加州大學Fei-Xue Fu和 David A. Hutchins教授,以及團隊其他成員參與了該項工作。該研究獲得了國家重點研發計劃、青島海洋科學與技術試點國家實驗室、萬人計劃和山東省泰山學者特聘專家等項目的資助。
論文鏈接:
1.https://www.nature.com/articles/s41396-020-00873-y
2.https://www.sciencedirect.com/science/article/pii/S030438942030738X

圖1. 海洋砷元素生物地化循環示意圖

圖2. 海水酸化和砷脅迫對硅藻碳利用效率的影響

圖3. 長期酸化條件下硅藻無機砷代謝調控機制