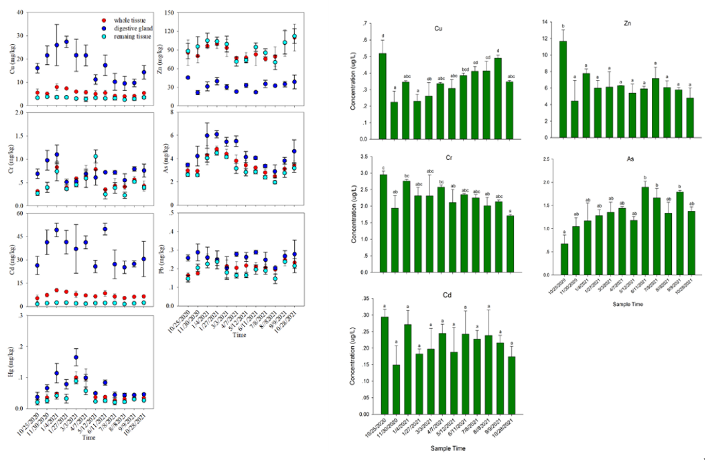
扇貝具有超富集鎘的特性,其對鎘的蓄積及其食用安全評估研究一直是水產品質量安全研究領域的關注重點。中國水產科學研究院黃海水產研究所水產品質量與安全研究室對扇貝的重金屬蓄積規律進行研究,并率先運用體外仿生消化模型結合鎘的形態分析技術研究揭示了扇貝不同組織中鎘的生物可給性及其形態轉化規律。相關研究成果發表在JCR一區國際期刊Marine Pollution Bulletin和Food Chemistry。黃海水產研究所趙艷芳為2篇論文的第一作者,譚志軍研究員為通訊作者。
研究發現,扇貝對鎘等重金屬的富集具有明顯的季節差異,與水體中重金屬的含量相關性不顯著,而與海水的理化性質密切相關。扇貝中鎘的生物可利用性具有顯著的組織差異性,最低為腎臟,最高為性腺。熱加工能夠降低內臟團、鰓、外套膜、肌肉中鎘的生物可給性。除肌肉組織外,所有組織的消化液中均檢出無機離子態鎘,并且熱加工能提高內臟團、鰓和性腺組織中無機鎘離子的含量。因此對貝類中鎘的食用健康風險評價不能僅基于貝類中鎘的富集量,還需要考慮鎘的生物可利用性以及加工方式等因素。
以上結果為科學評估扇貝中鎘的食用安全及限量標準制修訂提供了重要的科學支撐。

扇貝對重金屬的蓄積規律

扇貝中鎘的生物可利用性
該研究得到國家重點研發計劃政府間國際科技合作創新專項、貝類產業技術體系和中國水產科學研究院創新團隊等項目的資助。
文章鏈接:
https://doi.org/10.1016/j.foodchem.2022.134285
https://doi.org/10.1016/j.marpolbul.2022.114465