氣候變化已成為國際社會普遍關心的重大全球性問題,海洋生態系統在氣候變化背景下也正發生著巨大的變化,作為海洋生態系統生物主體的漁業資源也經歷著不可逆轉的演替。氣候變化無論是在全球范圍內還是區域性海域內都已成為制約漁業資源可持續利用的重要因素,考慮氣候變化因子的漁業資源的適應性管理是解決這一問題的必要條件,而關于氣候變化對中國近海這種區域性漁業資源變動潛在影響的評估尚未見報道。因此,科學認識氣候變化對中國近海漁業生態系統的影響,對于從漁業資源角度采取正確、及時的應對氣候變化策略具有重要意義,同時,也將從理論上推進近海漁業資源的適應性管理。
中國水產科學研究院黃海水產研究所漁業資源生態學團隊圍繞氣候變化對漁業資源分布的潛在影響開展了系列研究,以黃渤海23種重要魚類為研究對象,解析了其地理分布格局及主要環境驅動因子,揭示了不同魚類分布對氣候變化的差異性響應,預估了不同氣候變化情景下其未來棲息地的潛在變化,相關研究成果以“Predicting current and future global distribution of black rockfish (Sebastes schlegelii) under changing climate”和“Ensemble projections of fish distribution in response to climate changes in the Yellow and Bohai Seas, China”為題在國際學術期刊Ecological Indicators發表。
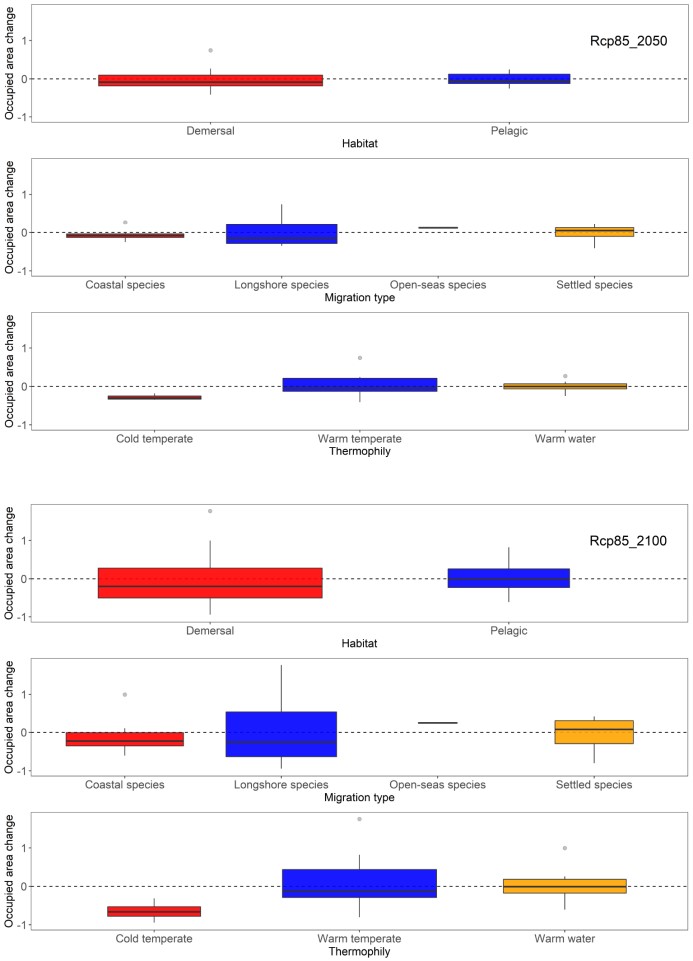
研究團隊運用集合物種分布模型等技術手段,采用漁業資源調查和數據庫數據相融合的方法,構建了黃渤海23種重要魚類的資源-環境耦合模型,結果表明:(1)當前黃渤海重要魚類物種數呈“渤海低,黃海高”的分布特點,熱點區主要集中在朝鮮半島沿岸西側海域以及31.5°—33.5°、122.5°—125°E范圍的黃海海域;(2)未來氣候變化下,黃渤海重要魚類地理分布存在明顯的種間差異,棲息地面積減少的種類多于棲息地面積增加的種類;(3)從生態類型來看,底層魚類的平均變化率高于中上層魚類,沿岸型魚類的變化率種間差異較大,而冷溫性魚類受到的影響高于暖溫性和暖水性魚類。相關研究結果解析了不同氣候變化情景對黃渤海漁業種群分布格局的潛在影響,探討了氣候變化對資源結構的調控及其資源效應,提升了黃渤海漁業資源應對氣候變化風險的靈活性,為全球變化背景下近海漁業資源的適應性管理提供科學基礎。
黃海水產研究所助理研究員陳云龍博士為兩篇論文的第一作者,金顯仕研究員和單秀娟研究員分別為論文通訊作者。該研究得到了國家自然科學基金(31872692,42106116)和山東省支持青島海洋科學與技術試點國家實驗室重大科技專項(2018SDKJ0501)共同資助。

圖1 Rcp8.5情景下黃渤海重要魚類棲息地面積變化(2050年和2100年)

圖2 Rcp8.5情景下黃渤海重要魚類種類數空間分布預測(2050年和2100年)

圖3 Rcp8.5情景下黃渤海不同生態類型魚類棲息地面積變化(2050年和2100年)
相關成果及鏈接如下:
Yunlong Chen, Xiujuan Shan, Daniel Ovando, Tao Yang, Fangqun Dai, Xianshi Jin*. 2021. Predicting current and future global distribution of black rockfish (Sebastes schlegelii) under changing climate. Ecological Indicators, 128: 107799. https://doi.org/10.1016/j.ecolind.2021.107799.
Yunlong Chen, Xiujuan Shan*,Harry Gorfine, Fangqun Dai, Qiang Wu, Tao Yang, Yongqiang Shi, Xianshi Jin. 2023. Ensemble projections of fish distribution in response to climate changes in the Yellow and Bohai Seas, China. Ecological Indicators, 146: 109759. https://doi.org/10.1016/j.ecolind.2022.109759.